分布式光伏两类。其中,集中式光伏规模1.219gw,分布式光伏规模为46mw。光伏机制电量规模12.48亿千瓦时,机制电价0.225元/kwh。
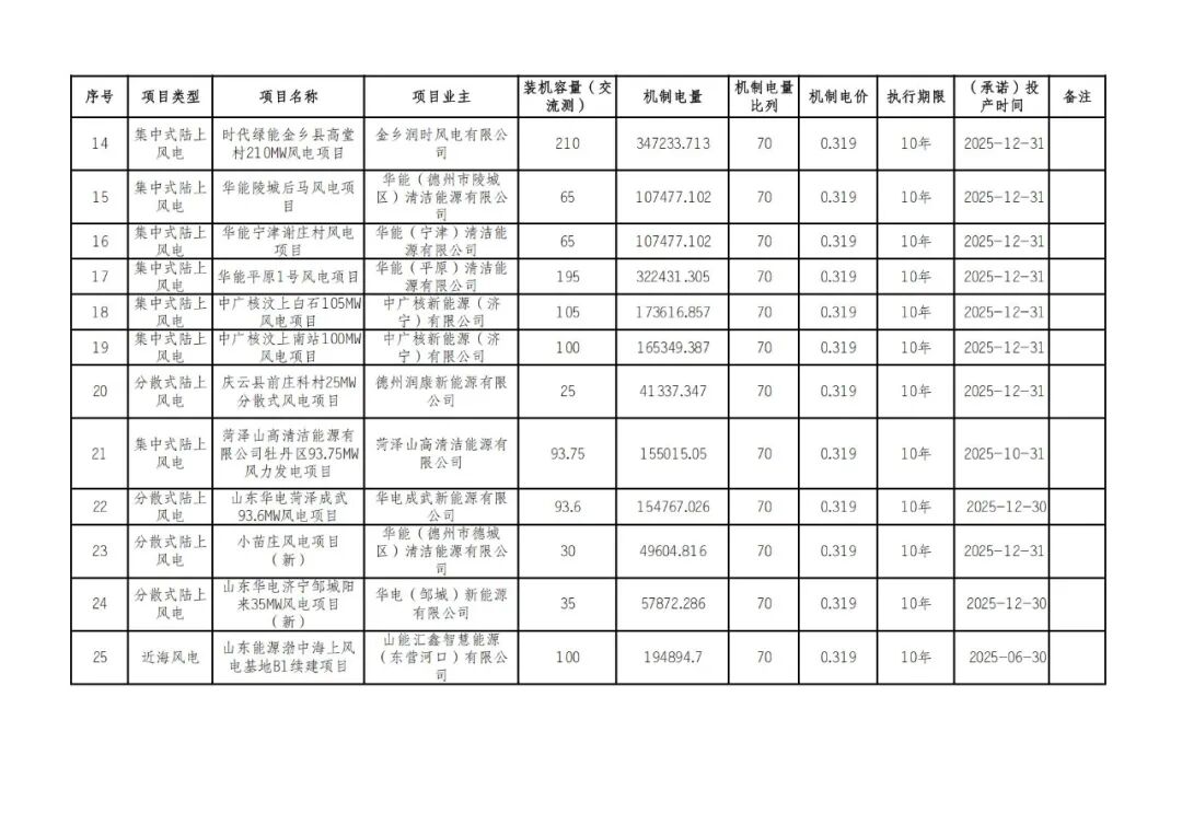
风电项目项目数量为25个,类型涉及集中式陆上风电、分散式陆上风电、近海风电三类。风电项目规模共计3.5911gw,机制电量规模共计59.67亿千瓦时,机制电价0.319元/kwh。
8月7日,山东省发展改革委公布关于印发《山东省新能源上网电价市场化改革实施方案》的通知(鲁发改价格〔2025〕576号)。(详见:山东“136号文”正式下发:机制电价存量项目0.3949元/kwh,增量项目竞争确定)
8月8日,山东省发改委下发《关于2025年新能源机制电价竞价工作有关事项的通知(鲁发改价格〔2025〕578号)》和《《山东省新能源机制电价竞价实施细则》的通知(鲁发改价格〔2025〕577号)》。(详见:山东136号文竞价细则出台!光伏保80%,竞价上限0.35元,下限0.123元!)
8月11日,山东电网公司印发《2025年山东省新能源机制电价竞价组织公告》,明确竞价申报主体为2025年6月1日-12月31日(含)投产(全容量并网,下同)的风电、集中式光伏、自然人户用光伏、非自然人户用光伏项目,2025年6月1日-6月17日(含)投产的一般工商业分布式光伏项目。
原文如下:
关于山东省2025年度新能源机制电价竞价出清结果的公示
根据《关于印发
公示期:2025年9月11日至9月15日。
公示期间如有异议(逾期不再受理),请以书面形式发送至指定邮箱,并提供真实有效的举证材料。单位反映情况须加盖公章,个人反映情况须提供真实姓名及k8凯发的联系方式并签字确认。
电 话:0531-51785707
邮 箱:shihuanan@shandong.cn
附 件:
附件1:山东省2025年度新能源机制电价竞价出清结果(风电).pdf
附件2:山东省2025年度新能源机制电价竞价出清结果(光伏).pdf




































































































































来源:新能源云
